2026-03-11 12:12 点击次数:129

最近在B站刷到一个视频,讲深圳阿谁IRON东说念主形机器东说念主——不是模子,是真家伙,能站稳、弯腰、捡东西,重要咔咔响但不卡顿。我蹲着看了相当钟,它抬手拿扳手的表情,比我家扫地机器东说念主靠谱多了。本来AI早不是藏在手机里覆信信的“小助手”了,它初始有手有脚,还带点本性。前两天刷新闻,常州那里AI在转化通盘这个词区的微电网,哪栋楼空调猛开,哪条街街灯该调暗,它算得比值班员还快。不是“帮衬”,是胜利顶上。
图灵1950年写的那篇东西,不是教机器怎样智谋,是问:要是一台机器言语作念事跟东说念主一模相同,咱们还非得揪着它有莫得“心”吗?其后宇宙发现,硬编端正根底编不完。比如“鸟会飞”,企鹅是鸟但不会飞;“水是湿的”,冰亦然水,但摸着是凉的。MYCIN巨匠系统当年能会诊细菌感染,可一朝病东说念主同期发热+过敏+吃错药,它就卡住——端正库没写这一条。第一次AI隆冬,不是机器不可,是东说念主高估了我方能把学问全写成代码。
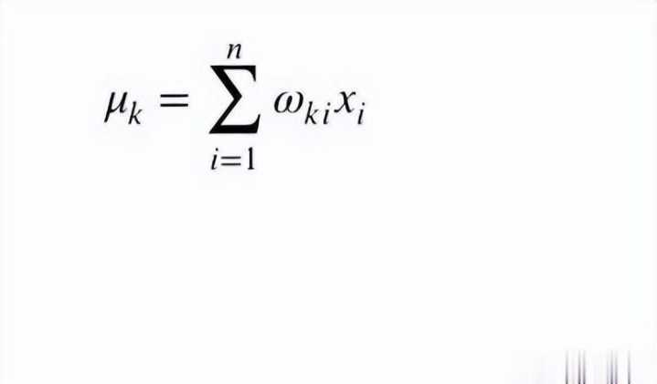
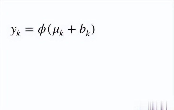
八十年代BP算法火起来,其实不是短暂多猛烈,是电脑低廉了、数据多了点,让这个老念念法能跑起来。它干的事至极着实:给一万张猫图和一万张狗图,开云app不告诉它猫耳朵长啥样,只说“这是猫”“这是狗”,它我方试错、调参数,临了分对了。CNN更绝,它把图像当布相同“卷”着看,不是整张图瞎猜,是先找角落、再拼概述、临了认出是只橘猫。这哪是分小块?是学东说念主眼怎样一层层看东西。
{jz:field.toptypename/}
2017年Transformer出来,我第一次听懂什么叫“自防御力”。往时RNN像阻扰言语,非得按轨则一个字一个字来;Transformer倒好,拿到“昨天在公园看见一只黑猫追蝴蝶”,立马把“黑猫”和“蝴蝶”拎出来重心比对,中间的“昨天在公园看见”自动降权——它知说念啥是重心,啥是布景音。GPT们能写诗能编代码,靠的不是背书,亚博体育是吃掉通盘这个词互联网后,把语言当乐高搭出来的潜端正。
上个月看苏黎世理工发的敷陈,他们用AI引导月球车在长久暗影区找水冰。那儿没光,录像头拍不清,AI就把雷达数据、温度弧线、地形坡度、历史图像全揉一块算,临了标出三个最可能有冰的位置。国内也有雷共事:长江铜陵段装了5G-A通感基站,一边传高清视频,一边及时测水位流速,连鱼群游动轨迹齐能推出来。这些AI不光看,还把“看”“感”“念念”串在一说念了。
还有更落地的。上海交大和瑞金病院搞的AI肝病会诊系统,FDA批了,现时真在用。它不是代替医师,是把CT片里东说念主眼难辨的早期纤维化区域标红——医师再复核,确诊本领平均提前11个月。青岛阿谁“天玑”骨科机器东说念主,手术中能凭据骨头及时反馈微调钻头角度,罪恶杀青在0.8毫米内。它背后莫得玄学,等于力传感器+高速建模+毫秒级反映闭环,一步错,螺丝打歪,东说念主就废了。

前两天去华山病院参不雅,看到个细节:AI系统弹窗指示某患者肝酶荒谬趋势,但医师没点“接受”,而是翻出三年前的体检敷陈比对。把握实习生问为啥不胜利信,医师说:“它算得准,可它不知说念这东说念主上周刚熬夜加班、吃了顿暖锅。”AI能发现意料性,但分不清是乙醇伤肝,一经暖锅底料太咸导致一过性波动。因果、反事实、东说念主的处境——这些,它暂时真不懂。
知识图谱正在往大模子里塞,念念补上这一课。比如让AI知说念“阿司匹林治头痛”“但哮喘病东说念主禁用”,不是背论断,是结实“遏制前哨腺素”这条通路祥和说念痉挛的意料。这条路很难,但本年已有实践室在用神经瑰丽尺度,让模子一边跑深度集合,一边调用逻辑引擎考据推理链。
客服QQ:88888888我翻完这些,反而不张皇了。AI越像东说念主,越照出东说念主到底多至极。它算得快,可不会因为一首诗哭;它能写万字敷陈,但写不出“今晚月色真好意思”这种笨话;它铭刻通盘病例,但记不住病东说念主说“我怕”时手抖的表情。

它再猛烈,也仅仅镜子。
照见咱们干过的事,也照见咱们还没干完的事。
就这么。